主页

5’-rApp修饰

首页 - 产品 - 工业级探针

概述

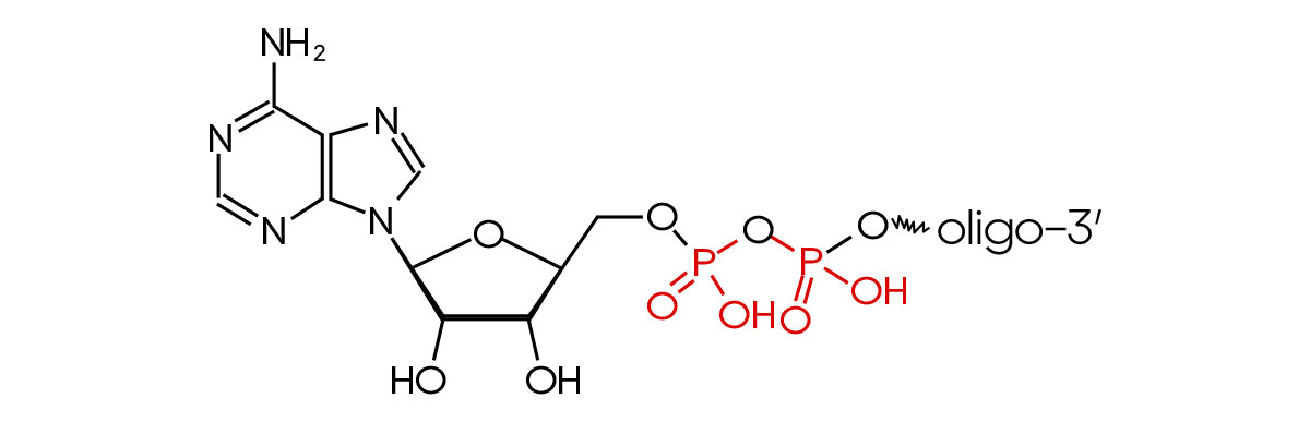
5’-rApp是指含有5’5’‑腺苷焦磷酸基帽的核酸,具有高能焦磷酸键,是一种活化形式的核酸分子。5‘-腺苷酰化修饰的寡核苷酸可以在不依赖ATP的情况下连接到不同序列的3’OH端,常用做3‘端为羟基的miRNA或单链DNA文库构建时的3’接头,减少分子间的自连。 迪赢生物基于专业的核酸化学科学家团队的研发和成熟稳定的合成纯化生产平台,现提供5‘腺苷酰化修饰,可化学合成5’腺苷酰化Oligo,用于下游miRNA建库等相关场景。

 

产品优势

  • 高纯度,高质量

rAppDNA

 

3

迪赢合成—生命科学“核”动力

联系我们

电话:400-800-8820

地址:苏州市高新区88号

邮箱:hb@

关注我们

Copyright © 2025 游艇会
All rights reserved.    苏ICP备2021080080号-2

网站地图 I 隐私政策